Free Printable Will And Trust Forms: Everything You Need to Know

Are you looking for a way to ensure that your assets are distributed according to your wishes after you pass away? Free printable will and trust forms may be the solution you’ve been searching for. These forms provide a legally binding way to outline how you want your estate to be handled, giving you peace of mind and ensuring that your loved ones are taken care of.

Free Printable Will And Trust Forms Free Printable

Knowledge

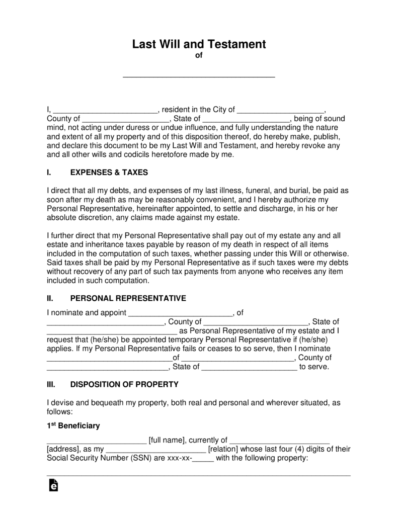
Before you dive into the world of free printable will and trust forms, it’s important to understand what they are and how they work. A will is a legal document that outlines how you want your assets to be distributed after your death. It also allows you to appoint an executor to carry out your wishes and a guardian for any minor children. A trust, on the other hand, is a legal arrangement in which a trustee holds assets on behalf of a beneficiary or beneficiaries.

Free Last Will And Testament Templates A Will Pdf Word Free

When it comes to creating a will or trust, you have a few options. You can hire an attorney to draft the documents for you, but this can be expensive. Alternatively, you can use free printable will and trust forms that are available online. These forms provide a basic template that you can use to create your own will or trust without the need for legal assistance.

It’s important to note that while free printable will and trust forms can be a cost-effective option, they may not cover all of your needs. If you have a complex estate or specific wishes that you want to ensure are carried out, it may be best to consult with an attorney to create a customized will or trust.

Free Printable Will And Trust Forms Free Printable A To Z

How to download and save it

Downloading and saving free printable will and trust forms is a simple process. You can find a variety of templates online by searching for “free printable will and trust forms.” Once you’ve found a form that meets your needs, you can typically download it as a PDF file and save it to your computer or print it out to fill in by hand.

When filling out the form, be sure to carefully follow the instructions provided. You’ll need to provide information about yourself, your assets, and how you want them to be distributed. You may also need to have the form witnessed and notarized to make it legally binding.

Conclusion

In conclusion, free printable will and trust forms can be a valuable tool for ensuring that your wishes are carried out after you pass away. These forms provide a cost-effective way to create a legally binding document that outlines how you want your estate to be handled.

Free printable will and trust forms are ideal for individuals with simple estates who want to ensure that their assets are distributed according to their wishes. They are also a good option for those who want to save money on legal fees and create a will or trust quickly and easily.

Ultimately, creating a will or trust is an important step in planning for the future and ensuring that your loved ones are taken care of. Whether you choose to use free printable will and trust forms or seek legal assistance, having a plan in place can provide peace of mind and security for you and your family.

Leave a Reply

Related Post

Uber Inspection Form 2020 2021 Fill And Sign Printable Template

Printable Uber Inspection Form

Printable Uber Inspection Form – Printable types assist keep order by classifying and standardizing information collection. For example, spending plan trackers, clinical permission kinds, and event RSVP sheets offer clarity and consistency. Utilizing kinds ensures that all needed details is videotaped, decreasing the possibility of mistakes or miscommunication. Printable kinds are incredibly cost-efficient. Free layouts […]

W2 Form Template Quick Accurate Tax Filing PaystubHero

2026 W2 Form Printable: Everything You Need to Know

Are you looking for the 2026 W2 Form Printable to file your taxes efficiently and accurately? Look no further! In this article, we will cover everything you need to know about the 2026 W2 Form Printable, including how to download and save it. Let’s dive in! Knowledge The 2026 W2 Form Printable is a crucial […]

W 9 Vs W 8 Tax ID Forms What s The Difference Between W9 And W8BEN

Difference Between W8 And W9 Form

Difference Between W8 And W9 Form – Printable types help maintain order by categorizing and systematizing information collection. For instance, spending plan trackers, clinical permission kinds, and occasion RSVP sheets give clarity and consistency. Making use of kinds ensures that all needed information is recorded, lowering the chance of errors or miscommunication. Printable types are […]