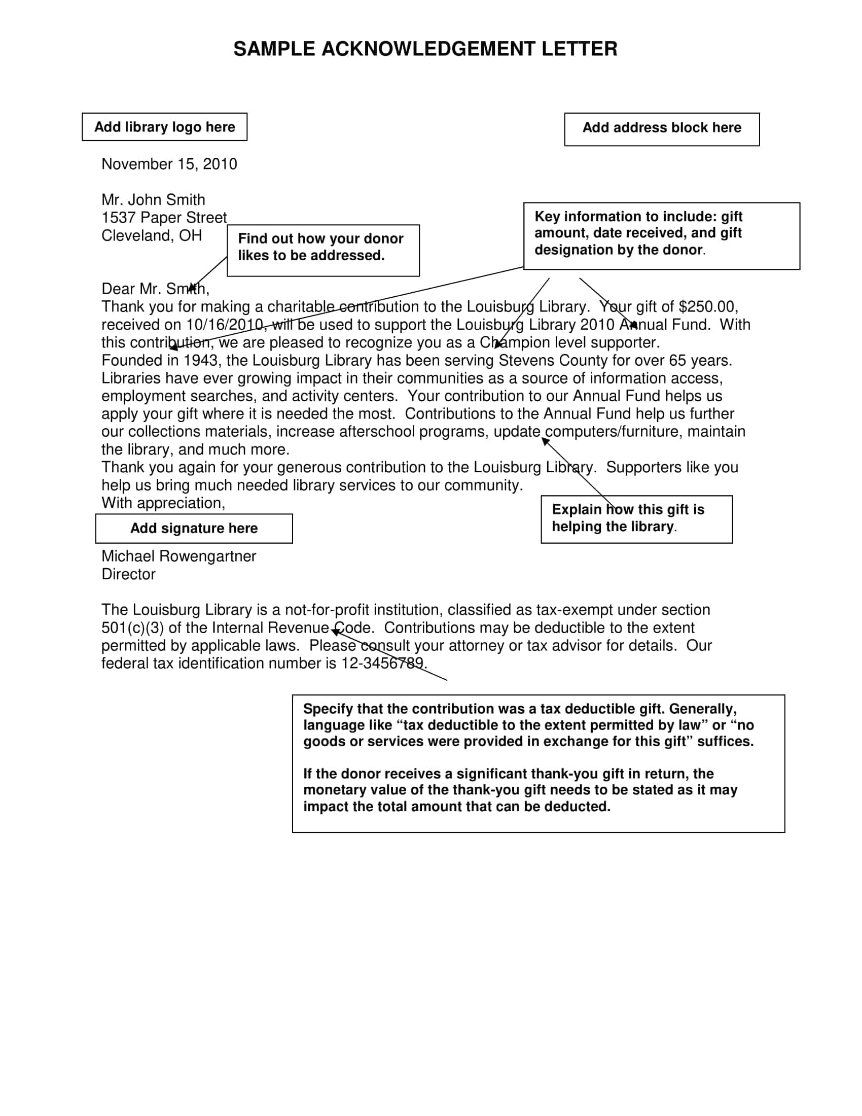
Printable Notary Acknowledgement Form

A Printable Notary Acknowledgement Form is a crucial document that many people seek online. It serves as a formal declaration that a notary public has verified the identity of the signer, ensuring the authenticity of important documents. This form enhances productivity and organization in various tasks.

These forms are practical tools in everyday life, simplifying processes that require notarization. By having a Printable Notary Acknowledgement Form readily available, individuals can streamline their paperwork and avoid delays in important transactions.

Free Printable Notary Acknowledgement Templates PDF Word Example

Practical Uses of Printable Notary Acknowledgement Form

The Printable Notary Acknowledgement Form finds its place in various scenarios. Students often use it for academic purposes, such as notarizing consent forms or applications. Teachers may require it for official documentation related to school activities.

Small business owners benefit from these forms when dealing with contracts or agreements. Having a notary acknowledgment ensures that all parties are verified, which is essential for legal protection. Parents also find them useful for notarizing documents related to custody or guardianship.

Creatives, like photographers or artists, may need to notarize contracts with clients. The Printable Notary Acknowledgement Form helps save time by allowing them to complete necessary paperwork efficiently, avoiding potential disputes later on.

Even in our digital age, the popularity of the Printable Notary Acknowledgement Form remains strong. Many people appreciate the convenience of having a physical copy that can be filled out and signed, ensuring a smooth process without relying solely on digital methods.

Free Notary Templates To Edit Online Print

Notary Acknowledgment Statement Templates Free Report Templates

Notary Acknowledgement Form Printable Notary Letter Notarization Template Editable Notary Public Document Digital Download Etsy Israel

Get Colorado Notary Acknowledgement Form All Colorado Forms

Leave a Reply

Related Post

GENESIS Bible Study Printout Pdf Print Prayerful Woman Printable Bible Study By Chapter Bible Stickers DIY Etsy

Printable Bible Study Guide For Genesis

A Printable Bible Study Guide For Genesis is a valuable resource for anyone looking to deepen their understanding of the Book of Genesis. Many people search for these guides online to enhance their study sessions, making them more productive and organized. These guides serve as practical tools in everyday life, simplifying the process of studying […]

Ancestry Family Tree Template Printable Study Planner

Genealogy Timeline Forms Free Printable

Genealogy Timeline Forms Free Printable are essential tools for anyone delving into their family history. These forms help organize information chronologically, making it easier to visualize relationships and events. Many people search for these resources online to enhance their productivity and streamline their research process. These printable forms are practical in everyday life, serving as […]

Connection Cards To Help You StayConnected

R U Okay Cards Printable

R U Okay Cards Printable are handy tools that many people search for online. These cards serve as a simple yet effective way to check in on friends, family, or colleagues, promoting mental well-being and connection. They can enhance productivity by providing a structured way to reach out. These cards are practical tools in everyday […]