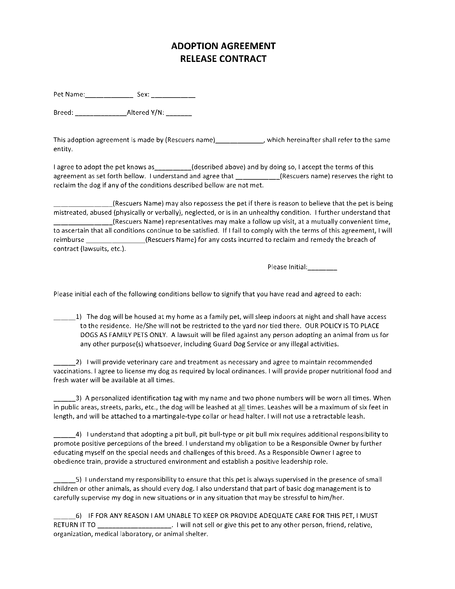
Printable Dog Adoption Forms

Printable Dog Adoption Forms are essential documents that streamline the process of adopting a dog. Many people search for these forms online to simplify their adoption journey and ensure they have all necessary information at hand. They help in enhancing productivity and organization during this exciting time.

These forms are practical tools that make everyday tasks easier. By having a Printable Dog Adoption Form, potential pet owners can quickly fill out their details, making the adoption process smoother and more efficient. This simplicity is what draws many to seek them out.

Editable Pet Adoption Certificate Dog Certificate Adoption Sign Pet Adoption Printable Custom Adoption Certificate Etsy

Practical Uses of Printable Dog Adoption Forms

Printable Dog Adoption Forms serve various purposes beyond just pet adoption. Students often use them for projects related to animal welfare, while teachers incorporate them into lessons about responsible pet ownership. This versatility makes them valuable in educational settings.

Small business owners, especially those in the pet industry, find these forms useful for streamlining their operations. They can quickly create customized adoption forms for their clients, saving time and ensuring a professional appearance. This efficiency is crucial for maintaining customer satisfaction.

Parents also benefit from having Printable Dog Adoption Forms. They can involve their children in the adoption process, teaching them responsibility and empathy towards animals. This hands-on experience fosters a sense of community and encourages family bonding.

Even in our digital age, Printable Dog Adoption Forms remain popular due to their tangible nature. Many people prefer filling out physical forms over digital ones, as it feels more personal and engaging. This preference ensures that these forms continue to be a staple in the pet adoption process.

Pet Adoption Contract Template In 2021 Get Free Sample

Printable Puppy Adoption Certificate Kids Birthday Party instant Digital Download Etsy

Printable Pet Adoption Form Animal Rescue Template download Etsy

Dog Adoption Application Fill Out Printable PDF Forms

Leave a Reply

Related Post

Texas Possession Form Fill Out Printable PDF Forms

Printable Notary Forms Texas

Printable Notary Forms Texas are essential documents that help individuals and businesses streamline their notary processes. Many people search for these forms online to enhance their productivity and organization, making tasks easier and more efficient. These forms serve as practical tools in everyday life, simplifying the often complex requirements of notarization. With Printable Notary Forms […]

Prince And Princess Crown Templates Free Printable Templates

Crown Template Printable: Create Your Own Royal Designs Easily

Are you looking to add a touch of royalty to your projects or crafts? Look no further than a Crown Template Printable. With endless possibilities for creativity, these templates are a must-have for anyone wanting to incorporate regal elements into their work. In this article, we will explore the world of Crown Template Printables, from […]

599260073 Printable Window Drill Cards Add Subtract Operations Studocu

Multiplication Window Card Printable Pdf

A Multiplication Window Card Printable Pdf is a handy educational tool designed to assist with learning multiplication. Many people search for it online to enhance their productivity and organization, especially when it comes to teaching or studying math concepts effectively. These cards are practical because they simplify complex tasks. By providing a visual aid, a […]